澳媒:梁振英秘密收澳企巨款 (16:11)
澳洲傳媒報道稱,「特首梁振英從一間澳洲上市公司收取秘密報酬,作為支持該公司在亞洲擴張生意的回報」,涉款400萬英鎊(近5000萬港元)。
事件與2011年12月5日戴德梁行被澳洲UGL集團以7750萬英鎊全面收購有關。根據澳洲傳媒Fairfax Media的偵查報道,提供巨款的安排,是在2011年12月2日一份秘密合約中列出的,當時梁振英仍未當上特首。
報道指出,UGL在該份合約中,同意支付梁振英400萬英鎊(逾700萬澳元),有關款項分兩期支付,分別是在2012及2013年,也就是梁振英出任特首之後。
報道稱,他們曾向梁振英求證,梁振英方面在回覆中「為未有申報相關利益的判斷,作出強烈辯護」。
澳媒:梁振英秘密收澳企巨款
Re: 澳媒:梁振英秘密收澳企巨款
安永:不知梁振英澳企有密約 (17:07)
參與接管戴德梁行 不知內情
澳洲傳媒報道稱,「特首梁振英從一間澳洲上市公司收取秘密報酬,作為支持該公司在亞洲擴張生意的回報」,涉款約5000萬港元。報道質疑這宗秘密交易為梁振英和涉事澳洲UGL公司帶來了透明度問題。
事件與2011年12月5日戴德梁行被澳洲UGL集團以7750萬英鎊全面收購有關。報道指出,UGL目前正打算將戴德梁行的業務,售予美國一間私募基金公司TPG。
2011年戴德梁行面臨財政困難,最終售予澳洲UGL集團,並需被接管。澳洲傳媒昨指出,當年有份接管戴德梁行的安永會計師行以及時任安永主席Tim Melville Ross,都表示不知道梁振英與澳洲UGL有這樣的一項支付協議。
參與接管戴德梁行 不知內情
澳洲傳媒報道稱,「特首梁振英從一間澳洲上市公司收取秘密報酬,作為支持該公司在亞洲擴張生意的回報」,涉款約5000萬港元。報道質疑這宗秘密交易為梁振英和涉事澳洲UGL公司帶來了透明度問題。
事件與2011年12月5日戴德梁行被澳洲UGL集團以7750萬英鎊全面收購有關。報道指出,UGL目前正打算將戴德梁行的業務,售予美國一間私募基金公司TPG。
2011年戴德梁行面臨財政困難,最終售予澳洲UGL集團,並需被接管。澳洲傳媒昨指出,當年有份接管戴德梁行的安永會計師行以及時任安永主席Tim Melville Ross,都表示不知道梁振英與澳洲UGL有這樣的一項支付協議。
Re: 澳媒:梁振英秘密收澳企巨款
收款五千萬?梁振英稱締協議時沒任公職 (16:39)
澳洲傳媒報道稱,「特首梁振英從一間澳洲上市公司收取秘密報酬,作為支持該公司在亞洲擴張生意的回報」,涉款約5000萬港元。報道引述梁振英方面的回覆稱,雙方達成協議時,梁振英並沒出任公職。
報道稱,他們曾就收取巨款一事向梁振英求證,梁振英方面在回覆中「為未有申報相關利益的判斷,作出強烈辯護」。梁振英方面在回應聲明中說,他所收取的款項,只關乎過去的服務,與未來的服務無關,而協議達成的時候,他並沒有任何公職,也未成為特首。
梁振英的發言人說:「有關款項源於梁振英辭任戴德梁行職務,而非關乎梁振英會在未來提供任何服務。梁振英辭去在戴德梁行的職務,以及與UGL達成的協議,都是在他出任特首之前,我們現行制度並沒要求梁振英申報上述這筆利益。」
澳洲傳媒報道稱,「特首梁振英從一間澳洲上市公司收取秘密報酬,作為支持該公司在亞洲擴張生意的回報」,涉款約5000萬港元。報道引述梁振英方面的回覆稱,雙方達成協議時,梁振英並沒出任公職。
報道稱,他們曾就收取巨款一事向梁振英求證,梁振英方面在回覆中「為未有申報相關利益的判斷,作出強烈辯護」。梁振英方面在回應聲明中說,他所收取的款項,只關乎過去的服務,與未來的服務無關,而協議達成的時候,他並沒有任何公職,也未成為特首。
梁振英的發言人說:「有關款項源於梁振英辭任戴德梁行職務,而非關乎梁振英會在未來提供任何服務。梁振英辭去在戴德梁行的職務,以及與UGL達成的協議,都是在他出任特首之前,我們現行制度並沒要求梁振英申報上述這筆利益。」
Re: 澳媒:梁振英秘密收澳企巨款
梁振英涉收受澳洲企業5000萬「秘密費用」
澳洲媒體Fairfax Media調查報道,特首梁振英涉嫌收受一家澳洲企業近5,000萬港元的「秘密費用」,作為梁振英支持其亞洲業務發展之用。
該報道指出,雙方於2011年12月2日簽訂一份秘密合約,而當時梁振英尚未當選特首。涉嫌向梁振英支付款項的澳洲企業名為UGL,為一家污水處理及電力輸送的工程公司,該公司同意向梁振英支付400萬英鎊(約4,988萬港元)。有關款項於2012及2013年分兩期支付,而當時梁振英已當選為本港特首。
事件緣於UGL於2011年12月收購戴德梁行,而當時梁振英任職該行亞太區主席。有關交易於2011年12月4日完成,而梁振英亦於同日宣佈辭任該行職位。
Fairfax Media向梁振英查詢有關交易時,梁強調當時未有申報個人利益的決定並無問題。
梁振英於有關出售交易中,獲得巨額的秘密利益,包括UGL同意由將破產的戴德梁行,向梁額外支付150萬英鎊(約1,870萬港元)款項,但戴德梁行其他股東及未受擔保的債主將會一無所有。梁所收取的款項佔UGL收購戴德梁行交易總額逾5%。
特首辦發出聲明,表示梁振英所收取的款項涉及過去提供的服務,而非未來,而雙方作出交易時,梁並無任何官職,當時亦未獲選為特首。在現行制度下,梁振英是毋須對上述款項作出申報。
聲明補充指,梁振英於2011年10月3日已辭任行政會議成員,較UGL收購戴德梁行的時間為早。梁及董事局成員決定以7600萬英鎊,將戴德梁行售予UGL時,梁振英任職戴德梁行亞太區主席。
梁振英於11月24日公佈辭任戴德梁行職務,於11月27日正式參選特首,並於12月2日簽署此份巨額合約。梁於12月4日正式辭任,而當日UGL則完成對戴德梁行的收購。
澳洲媒體Fairfax Media調查報道,特首梁振英涉嫌收受一家澳洲企業近5,000萬港元的「秘密費用」,作為梁振英支持其亞洲業務發展之用。
該報道指出,雙方於2011年12月2日簽訂一份秘密合約,而當時梁振英尚未當選特首。涉嫌向梁振英支付款項的澳洲企業名為UGL,為一家污水處理及電力輸送的工程公司,該公司同意向梁振英支付400萬英鎊(約4,988萬港元)。有關款項於2012及2013年分兩期支付,而當時梁振英已當選為本港特首。
事件緣於UGL於2011年12月收購戴德梁行,而當時梁振英任職該行亞太區主席。有關交易於2011年12月4日完成,而梁振英亦於同日宣佈辭任該行職位。
Fairfax Media向梁振英查詢有關交易時,梁強調當時未有申報個人利益的決定並無問題。
梁振英於有關出售交易中,獲得巨額的秘密利益,包括UGL同意由將破產的戴德梁行,向梁額外支付150萬英鎊(約1,870萬港元)款項,但戴德梁行其他股東及未受擔保的債主將會一無所有。梁所收取的款項佔UGL收購戴德梁行交易總額逾5%。
特首辦發出聲明,表示梁振英所收取的款項涉及過去提供的服務,而非未來,而雙方作出交易時,梁並無任何官職,當時亦未獲選為特首。在現行制度下,梁振英是毋須對上述款項作出申報。
聲明補充指,梁振英於2011年10月3日已辭任行政會議成員,較UGL收購戴德梁行的時間為早。梁及董事局成員決定以7600萬英鎊,將戴德梁行售予UGL時,梁振英任職戴德梁行亞太區主席。
梁振英於11月24日公佈辭任戴德梁行職務,於11月27日正式參選特首,並於12月2日簽署此份巨額合約。梁於12月4日正式辭任,而當日UGL則完成對戴德梁行的收購。
Re: 澳媒:梁振英秘密收澳企巨款
梁振英涉收受澳洲企業5000萬「秘密費用」
澳洲媒體Fairfax Media調查報道,特首梁振英涉嫌收受一家澳洲企業近5,000萬港元的「秘密費用」,作為梁振英支持其亞洲業務發展之用。
該報道指出,雙方於2011年12月2日簽訂一份秘密合約,而當時梁振英尚未當選特首。涉嫌向梁振英支付款項的澳洲企業名為UGL,為一家污水處理及電力輸送的工程公司,該公司同意向梁振英支付400萬英鎊(約4,988萬港元)。有關款項於2012及2013年分兩期支付,而當時梁振英已當選為本港特首。
事件緣於UGL於2011年12月收購戴德梁行,而當時梁振英任職該行亞太區主席。有關交易於2011年12月4日完成,而梁振英亦於同日宣佈辭任該行職位。
Fairfax Media向梁振英查詢有關交易時,梁強調當時未有申報個人利益的決定並無問題。
梁振英於有關出售交易中,獲得巨額的秘密利益,包括UGL同意由將破產的戴德梁行,向梁額外支付150萬英鎊(約1,870萬港元)款項,但戴德梁行其他股東及未受擔保的債主將會一無所有。梁所收取的款項佔UGL收購戴德梁行交易總額逾5%。
特首辦發出聲明,表示梁振英所收取的款項涉及過去提供的服務,而非未來,而雙方作出交易時,梁並無任何官職,當時亦未獲選為特首。在現行制度下,梁振英是毋須對上述款項作出申報。
聲明補充指,梁振英於2011年10月3日已辭任行政會議成員,較UGL收購戴德梁行的時間為早。梁及董事局成員決定以7600萬英鎊,將戴德梁行售予UGL時,梁振英任職戴德梁行亞太區主席。
梁振英於11月24日公佈辭任戴德梁行職務,於11月27日正式參選特首,並於12月2日簽署此份巨額合約。梁於12月4日正式辭任,而當日UGL則完成對戴德梁行的收購。
澳洲媒體Fairfax Media調查報道,特首梁振英涉嫌收受一家澳洲企業近5,000萬港元的「秘密費用」,作為梁振英支持其亞洲業務發展之用。
該報道指出,雙方於2011年12月2日簽訂一份秘密合約,而當時梁振英尚未當選特首。涉嫌向梁振英支付款項的澳洲企業名為UGL,為一家污水處理及電力輸送的工程公司,該公司同意向梁振英支付400萬英鎊(約4,988萬港元)。有關款項於2012及2013年分兩期支付,而當時梁振英已當選為本港特首。
事件緣於UGL於2011年12月收購戴德梁行,而當時梁振英任職該行亞太區主席。有關交易於2011年12月4日完成,而梁振英亦於同日宣佈辭任該行職位。
Fairfax Media向梁振英查詢有關交易時,梁強調當時未有申報個人利益的決定並無問題。
梁振英於有關出售交易中,獲得巨額的秘密利益,包括UGL同意由將破產的戴德梁行,向梁額外支付150萬英鎊(約1,870萬港元)款項,但戴德梁行其他股東及未受擔保的債主將會一無所有。梁所收取的款項佔UGL收購戴德梁行交易總額逾5%。
特首辦發出聲明,表示梁振英所收取的款項涉及過去提供的服務,而非未來,而雙方作出交易時,梁並無任何官職,當時亦未獲選為特首。在現行制度下,梁振英是毋須對上述款項作出申報。
聲明補充指,梁振英於2011年10月3日已辭任行政會議成員,較UGL收購戴德梁行的時間為早。梁及董事局成員決定以7600萬英鎊,將戴德梁行售予UGL時,梁振英任職戴德梁行亞太區主席。
梁振英於11月24日公佈辭任戴德梁行職務,於11月27日正式參選特首,並於12月2日簽署此份巨額合約。梁於12月4日正式辭任,而當日UGL則完成對戴德梁行的收購。
Re: 澳媒:梁振英秘密收澳企巨款
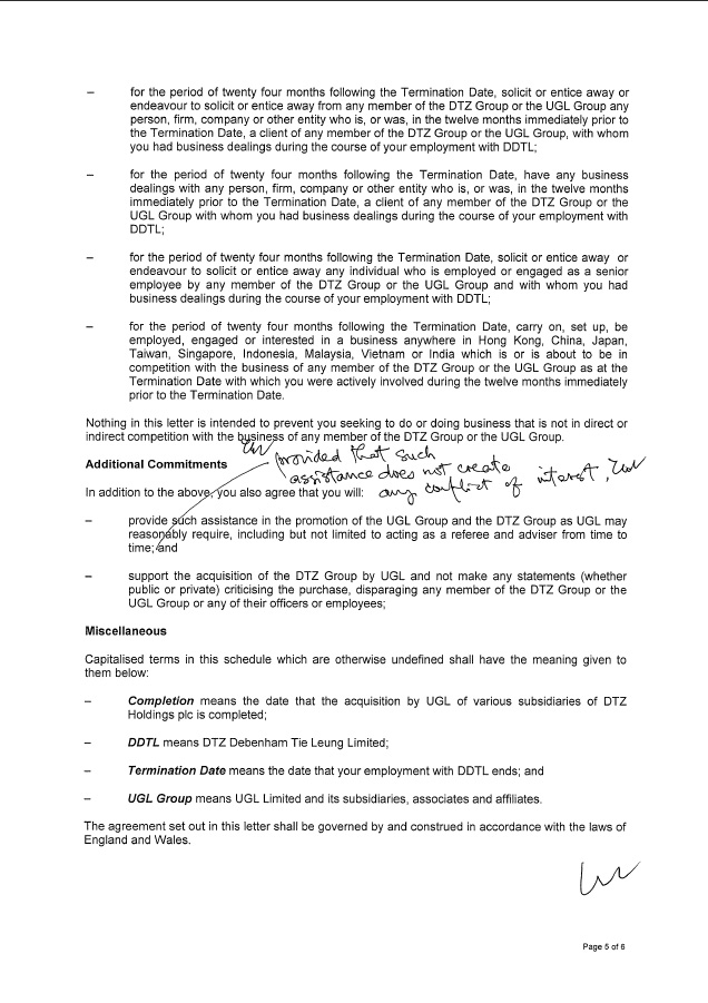
澳洲媒體Fairfax Media調查報道,特首梁振英涉嫌收受一家澳洲企業UGL近5,000萬港元的「秘密費用」,作為梁振英支持其亞洲業務發展之用,雙方於2011年12月2日簽訂一份秘密合約,其秘密合約亦已曝光,一共六頁。
在追加承諾方面,梁振英同意協助UGL和戴德梁行,日後梁振英不時(from time to time)為戴德梁行及UGL集團擔任顧問工作,但有關協助須不會牽涉利益衝突。
在追加承諾方面,梁振英同意協助UGL和戴德梁行,日後梁振英不時(from time to time)為戴德梁行及UGL集團擔任顧問工作,但有關協助須不會牽涉利益衝突。
Re: 澳媒:梁振英秘密收澳企巨款
特首辦:現有制度下
款項毋須申報
特首辦回應Fairfax Media查詢時,表示有關款項與過去提供之服務有關,已非為未來服務,而簽訂合約時,梁未有擔任任何公職。在現有申報制度下,梁是毋須為此作出申報。
以下為特首辦回應全文翻譯:
梁振英曾為DTZ之亞太區營運主席,並於2011年11月24日公佈,辭去有關職務,於2011年12月4日生效。
根據當時梁振英與UGL之合約(當時UGL正收購DTZ),以及與DTZ之協議,UGL於合約後兩年內,向梁振英支付有關款項及現金花紅。因此有關款項之發生,是源於梁振英辭去DTZ職位,而非於未來夫提供服務。
梁辭任DTZ職務,以及與UGL簽訂協議,均是在上任特首之前發生。在現有申報制度下,梁是毋須為此作出申報。梁又於簽訂協議前,即2011年10月11日,已辭任行政會議成員。
款項毋須申報
特首辦回應Fairfax Media查詢時,表示有關款項與過去提供之服務有關,已非為未來服務,而簽訂合約時,梁未有擔任任何公職。在現有申報制度下,梁是毋須為此作出申報。
以下為特首辦回應全文翻譯:
梁振英曾為DTZ之亞太區營運主席,並於2011年11月24日公佈,辭去有關職務,於2011年12月4日生效。
根據當時梁振英與UGL之合約(當時UGL正收購DTZ),以及與DTZ之協議,UGL於合約後兩年內,向梁振英支付有關款項及現金花紅。因此有關款項之發生,是源於梁振英辭去DTZ職位,而非於未來夫提供服務。
梁辭任DTZ職務,以及與UGL簽訂協議,均是在上任特首之前發生。在現有申報制度下,梁是毋須為此作出申報。梁又於簽訂協議前,即2011年10月11日,已辭任行政會議成員。
Re: 澳媒:梁振英秘密收澳企巨款
澳媒對UGL七大質疑 問與答實錄
澳洲媒體Fairfax Media調查報道,特首梁振英涉嫌收受一家澳洲企業UGL近5,000萬港元的「秘密費用」,作為梁振英支持其亞洲業務發展之用,雙方於2011年12月2日簽訂一份秘密合約,Fairfax Media就有關交易,向UGL提出七大疑問,以下是有關問答內容:
1.UGL董事會和薪酬委員會是否已得悉公司支付400萬英鎊予梁振英?
UGL:是
2.UGL有否在任何地方公布有關文件?點解冇?公司怎樣解釋?
UGL:沒有,因為雙方以商業機密為由沒有公開,做法亦符合標準商業慣例。UGL與梁振英洽談價目,為維護商業利益,故保持機密。
3.梁振英高調宣佈參選特首,為何UGL指其全不知悉?
UGL:梁振英與UGL接洽時仍未當選特首,只是有機會勝出。假如梁振英返回UGL任職,才算有抵觸。
4.戴德梁行管理層與董事會對梁振英認識有幾多?
UGL:據悉,戴德梁行高層知道梁振英與UGL之間談判,維護戴德梁行在內地和香港業務利益,確保涉及交易無誤。
5.未有文件證明,蘇格蘭皇家銀行(RBS)、戴德梁行及安永已知悉與梁振英的交易,請確認上述各方究竟知道甚麼,以及用甚麼途徑知道?
UGL:只有RBS及其顧問知悉交易。
6. UGL董事作出什麼安排,確保今次支付予梁振英沒有打破英國破產法或相關企業法律?
UGL:沒有直接與管理層參與討,所有溝通都只包括戴德梁行、蘇格蘭皇家銀行及其顧問。
7. 戴德梁行董事有否被通知?他們是否批准交易?
UGL:戴德梁行董事會、代表、管理層、財務及顧問均知悉今次討論。
澳洲媒體Fairfax Media調查報道,特首梁振英涉嫌收受一家澳洲企業UGL近5,000萬港元的「秘密費用」,作為梁振英支持其亞洲業務發展之用,雙方於2011年12月2日簽訂一份秘密合約,Fairfax Media就有關交易,向UGL提出七大疑問,以下是有關問答內容:
1.UGL董事會和薪酬委員會是否已得悉公司支付400萬英鎊予梁振英?
UGL:是
2.UGL有否在任何地方公布有關文件?點解冇?公司怎樣解釋?
UGL:沒有,因為雙方以商業機密為由沒有公開,做法亦符合標準商業慣例。UGL與梁振英洽談價目,為維護商業利益,故保持機密。
3.梁振英高調宣佈參選特首,為何UGL指其全不知悉?
UGL:梁振英與UGL接洽時仍未當選特首,只是有機會勝出。假如梁振英返回UGL任職,才算有抵觸。
4.戴德梁行管理層與董事會對梁振英認識有幾多?
UGL:據悉,戴德梁行高層知道梁振英與UGL之間談判,維護戴德梁行在內地和香港業務利益,確保涉及交易無誤。
5.未有文件證明,蘇格蘭皇家銀行(RBS)、戴德梁行及安永已知悉與梁振英的交易,請確認上述各方究竟知道甚麼,以及用甚麼途徑知道?
UGL:只有RBS及其顧問知悉交易。
6. UGL董事作出什麼安排,確保今次支付予梁振英沒有打破英國破產法或相關企業法律?
UGL:沒有直接與管理層參與討,所有溝通都只包括戴德梁行、蘇格蘭皇家銀行及其顧問。
7. 戴德梁行董事有否被通知?他們是否批准交易?
UGL:戴德梁行董事會、代表、管理層、財務及顧問均知悉今次討論。
Re: 澳媒:梁振英秘密收澳企巨款
泛民擬提特權法
公民黨黨魁梁家傑表示,泛民或在立法會引用《權力及特權法》調查事件,他指梁振英表面上出現誠信問題,亦違反問責官員的披露守則,若有足夠證據,能成為泛民彈劾梁振英的理據。
廉署前調查主任、民主黨總幹事林卓廷說,事件是很典型的「非法回佣」,質疑梁振英做法損害DTZ股東利益。
UGL是澳洲一間工程公司,在2011年,DTZ業務賣盤,UGL在當年12月以7750萬鎊收購DTZ的業務,賣盤前,梁振英是DTZ的董事及亞太區主席。梁振英則在當年11月27日宣布參選特首。UGL收購DTZ的交易同年12月4日完成,梁振英亦於同日正式辭任該行職位
UGL於本港有業務,在2002年起與港鐵合作。2008年,港鐵買入22輛4期輕鐵列車,便是由UGL設計,另外UGL亦為港鐵觀塘線提供全新維修程序。
公民黨黨魁梁家傑表示,泛民或在立法會引用《權力及特權法》調查事件,他指梁振英表面上出現誠信問題,亦違反問責官員的披露守則,若有足夠證據,能成為泛民彈劾梁振英的理據。
廉署前調查主任、民主黨總幹事林卓廷說,事件是很典型的「非法回佣」,質疑梁振英做法損害DTZ股東利益。
UGL是澳洲一間工程公司,在2011年,DTZ業務賣盤,UGL在當年12月以7750萬鎊收購DTZ的業務,賣盤前,梁振英是DTZ的董事及亞太區主席。梁振英則在當年11月27日宣布參選特首。UGL收購DTZ的交易同年12月4日完成,梁振英亦於同日正式辭任該行職位
UGL於本港有業務,在2002年起與港鐵合作。2008年,港鐵買入22輛4期輕鐵列車,便是由UGL設計,另外UGL亦為港鐵觀塘線提供全新維修程序。